

火热的盛夏,与归乡的赤诚相映。 共青团秦皇岛市委向所有心系桑梓的秦皇岛籍在外学子发出诚挚邀约:加入2025年暑假“返家乡”社会实践的青春行列!
这不仅是一次拥抱故土、感受乡情的旅程,更是一个施展才华、淬炼成长的广阔舞台!1350个岗位翘首以盼,实践项目精彩纷呈——政务见习助你洞察治理脉络,企业实习让你体验职场前沿,公益服务传递温暖力量,文化宣传展示城市魅力...
无论你是渴望探索未来职业方向,还是立志为家乡发展贡献智慧与汗水,这个暑假,“返家乡”社会实践都是你不容错过的成长机遇!


一、岗位设置
团市委充分整合资源,共征集实践岗位1350个。包含全市各级机关、企事业单位,各级团组织、乡镇(街道)、社区等相关单位部门。
二、报名条件
(一)秦皇岛籍全日制在校大学生及毕业两年内未就业大学生(含硕士研究生、博士生)。
(二)在校期间积极参与党团组织活动,共产党员、优秀共青团员和优秀学生干部优先列入选拔对象。
(三)政治意识强,综合素质好,身体健康,吃苦耐劳,服从用人单位管理。
三、报名程序
(一)岗位查询
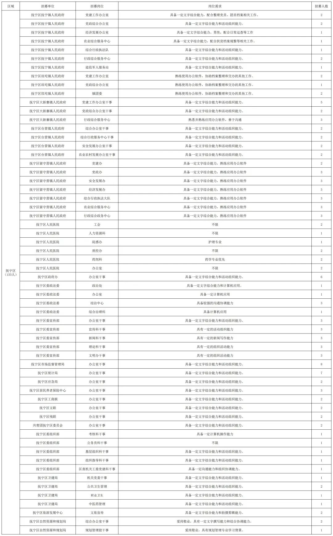
符合报名条件的人员可通过“秦皇岛共青团”微信公众号查看《“桑梓计划”大学生专题——秦皇岛市2025年暑假大学生“返家乡”社会实践活动岗位需求信息表》(附件2)。
(二)报名安排
1.报名时间:
从现在起开始申请报名,截止时间原则上为7月6日17:30,各团县(区)委、市有关直属团委可结合实际适当延长报名时间。
2.报名方式:
(1)通过“秦皇岛共青团”微信公众号下载并填写《“桑梓计划”大学生专题——秦皇岛市2025年暑假大学生“返家乡”社会实践活动岗位申请表》(附件3)。团卢龙县委、团海港区委、团北戴河区委为大学生“返家乡”社会实践活动示范县区。报名这三个县区岗位的大学生,在“创青春”微信公众号菜单“社会实践”--“报备入口”栏目进入,注册登录,按分类、区域搜索岗位信息,确认选择合适的岗位后,填报并提交报名信息,等待审核和系统提示信息,按信息指示进行后续操作。通过双向选择方式录取。
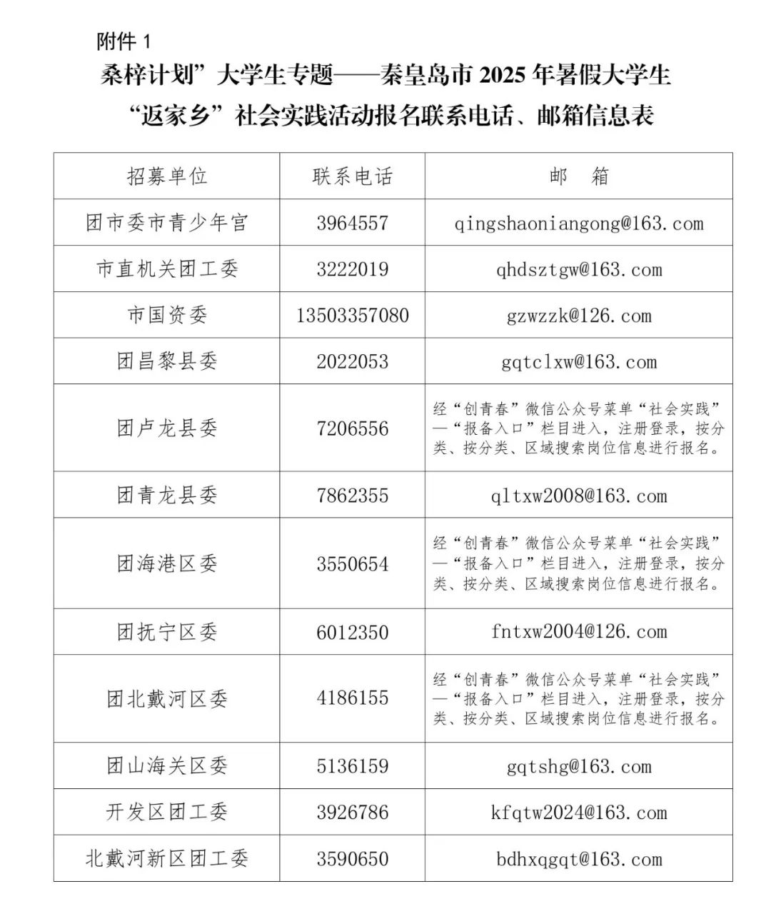
(2)申请表填好后,将表格电子版和本人签名后的表格扫描件或照片版(邮件备注本人姓名)发送至所在团县(区)委、市有关直属团委邮箱(邮箱地址见附件1)。例:张*拟申请实践岗位为山海关区某街道团委干事,就需要将申请表发至团山海关区委。
(三)人员确定及上岗时间
1. 由各团县(区)委、市有关直属团委联合用人单位负责对报名人员进行资格审查,确定入选人员,并填写《“桑梓计划”大学生专题——秦皇岛市2025年暑假大学生“返家乡”社会实践活动人员汇总表》(附件4,电子版、盖章版扫描件),报团市委青年发展部备案(邮箱:qhdcy2008@126.com)。各团县(区)委、市有关直属团委可会同用人单位,结合实际情况和个人意愿进行人员调剂。
2.各团县(区)委、市有关直属团委负责协调用人单位,做好入选人员的通知工作(如未接到通知即为未入选),确保入选大学生尽快上岗。
四、相关要求及注意事项
1.确定人员后,各团县(区)委、市有关直属团委要会同用人单位或部门为大学生提供意外保险,结合本单位职能对大学生进行上岗前培训。
2.本活动不收取任何费用,大学生不在用人单位领取薪酬,有条件的实习单位为学生适当提供公共交通补贴、餐补等工作服务保障,因工作产生的费用按照相关规定由用人单位实报实销。
3.大学生要按照团组织和用人单位要求,及时了解岗位、认知岗位、适应岗位,加强学习,高质量完成岗位任务;要遵纪守法、诚实守信、保守秘密,积极主动参与具体工作,彰显新时代青年大学生的精神面貌和责任担当。集中实习时间不少于22个工作日,否则不提供实习鉴定。如有特殊需要的应由本人提出申请,经实习单位同意,可适当延长。一经录用不得无故缺岗,否则将通报所在学校团委。
4.大学生记录成长,关注“创青春”微信公众号、视频号、抖音号,将实践日记、体会制作成文案和短视频,通过后台留言方式或@的方式参与投稿;及时与校院团委、指导教师、朋辈同学等分享交流,向更多的同学老师宣传展示自己的家乡。
5.大学生总结分享,做好实践总结思考,对返乡实践中形成的优秀成果可以邀请指导教师做进一步提升挖掘,转化成学术型实践成果或活动型实践成果。积极参加各级团组织开展的总结交流活动。
6.期满后,用人单位根据实习大学生的工作表现填写《“桑梓计划”大学生专题——秦皇岛市2025年暑假大学生“返家乡”社会实践活动个人鉴定表》(附件5),统一交各团县(区)委、市有关直属团委汇总,逐级盖章后,由大学生自行带回学校,按要求存入档案。

活动报名联系电话、邮箱
(点击图片放大查看原图)

活动岗位需求信息表
(点击图片放大查看原图)











全部附件电子版
扫描二维码查看并下载
来源:秦皇岛共青团
编辑:崔婷婷 编审:高源
